戊二醛类乙烯基醚类中间体类脂肪族环氧树脂类聚甲基乙烯基醚/马来酸酐共聚物新产品

聚甲基乙烯基醚/马来酸酐共聚物

当前位置:首页>产品中心
序列号 产品名称 CAS NO. 结构式
1 聚甲基乙烯基醚/马来酸酐共聚物(AP系列) 9011-16-9 聚甲基乙烯基醚/马来酸酐共聚物(AP系列)
2 聚(甲基乙烯基醚/马来酸)共聚物(SP系列) 25153-40-6 聚(甲基乙烯基醚/马来酸)共聚物(SP系列)
3 聚(甲基乙烯基醚/马来酸)共聚物(PP系列) 25153-40-6 聚(甲基乙烯基醚/马来酸)共聚物(PP系列)
4 聚(甲基乙烯基醚/马来酸)混合盐的共聚物(MP系列) 62386-95-2 聚(甲基乙烯基醚/马来酸)混合盐的共聚物(MP系列)
5 聚(甲基乙烯基醚/马来酸)半酯共聚物EP225 25087-06-3 聚(甲基乙烯基醚/马来酸)半酯共聚物EP225
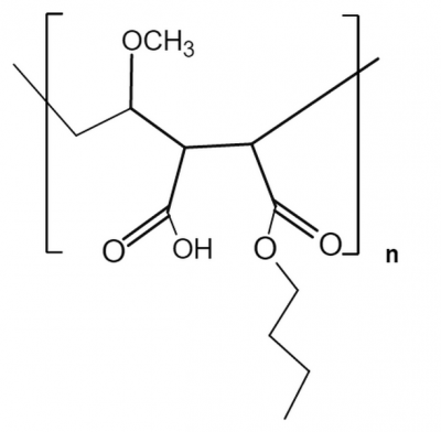
6 聚(甲基乙烯基醚/马来酸)半酯共聚物EP425/EP435 25119-68-0 聚(甲基乙烯基醚/马来酸)半酯共聚物EP425/EP435
总共有 6 篇记录 这是第 1 页
总公司:
新景新材料

关注新景新材料